Toggle navigation
CQOJ
讨论版
常见问答
问题
来源/分类
状态
排名
名校联赛
竞赛&作业
Login
问题 1320 --计算三角形面积
1320: 计算三角形面积
时间限制:
1 Sec
内存限制:
128 MB
提交:
179
解决:
116
[
提交
][
状态
][
讨论版
][命题人:
]
题目描述
平面上有一个三角形,它的三个顶点坐标分别为(a1,b1), (a2, b2), (a3, b3),那么请问这个三角形的面积是多少。
输入
输入仅一行,包括6个整数,分别对应a1, b1, a2, b2, a3, b3。
输出
输出也是一行,输出三角形的面积,精确到小数点后两位。
样例输入
0 0 4 0 0 3
样例输出
6.00
提示
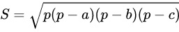
利用海伦公式
其中:p=(a+b+c)/2 ,a,b,c为三角形三条边的长度
数据范围
-200<=a1,b1,a2,b2,a3,b3<=200
来源
夏令营基础班1
[
提交
][
状态
]